Al principio hubo unas Leyes (y III)

Al principio hubo un Dios (I)

Al principio hubo un Universo (II)

universo_21La mayoría de los científicos acordarían que la existencia de un esquema matemático del universo no es la misma cosa que la existencia real de tal universo. Los formalismos matemáticos de Hartle-Hawking proveen las probabilidades de un universo particular, en que una distribución particular de materia exista a cada momento. Al predecir que la probabilidad para algún universo en particular es distinta de cero, uno está diciendo que hay una posibilidad definida de que torne realidad. De este modo a la creación ex nihilo se le da acá la interpretación concreta de “realización de posibilidades».

La teoría de Hartle-Hawking burla con destreza el problema del origen del universo apelando a procesos cuánticos. La lección que ha ser aprendida es que la física cuántica abre la puerta a un universo de edad finita, la existencia del cual no demanda una causa anterior bien definida. No es necesario un acto especial de creación. El universo como un todo cumple con ciertas leyes bien definidas de la física. Estas leyes de la naturaleza: son eternas. Pero si nunca vamos a poder echar mano a las leyes excepto a través de su manifestación en los fenómenos físicos, ¿qué derecho tenemos de atribuirles una existencia independiente? ¿Qué forma de existencia podemos atribuirle a algo tan abstracto y nebuloso como las leyes de la física?

Mientras que para un sistema particular las condiciones iniciales son sólo una característica incidental que siempre puede ser explicada apelando a un entorno más amplio en un momento anterior, cuando llegamos a las condiciones cósmicas iniciales no hay un entorno más amplio ni un momento anterior. Las condiciones iniciales cósmicas son “dadas,” tal como las leyes de la física. Las leyes están “ahí afuera,” transcendiendo el universo físico. Se ha argumentado que las leyes de la física devinieron en existencia con el universo. Si así fuera, entonces esas leyes no pueden explicar el origen del universo, porque, las leyes no hubieran existido hasta que el universo existió.

universo_26Esto se hace forzosamente más obvio cuando se llega a una ley de las condiciones iniciales, porque tal ley tiende a explicar que el universo devino en existencia precisamente de la forma que es. En el esquema de Hartle-Hawking no hay un momento real de creación en el cual las leyes se apliquen. El astrónomo James Jeans proclamó una vez que Dios es un matemático. Esta jugosa frase expresa en términos metafóricos un artículo de fe adoptado hoy por casi todos los científicos. La creencia que el orden subyacente del mundo puede ser expresado de forma matemática yace en el mismo corazón de la ciencia, y es raramente cuestionado. Tan profundamente se ha aceptado esta creencia que cualquier rama de la ciencia no se considera adecuadamente entendida hasta que pueda ser expresada en el lenguaje impersonal de la matemática.

universo_25Einstein una vez remarcó que la cosa que más le interesaba era si Dios tuvo alguna elección en crear el mundo tal como es. Einstein no era religioso en un sentido convencional, pero le gustaba usar el nombre de Dios como una metáfora para expresar cuestiones profundas de la existencia. ¿Tuvo el mundo que ser de la forma que es, o podría haber sido de otra forma? Y si pudo ser de otra forma, ¿qué clase de explicación podríamos buscar para que sea como es? ¿Porqué el mundo se ha tomado toda esta molestia para existir?

Los sistemas biológicos, son notablemente sensibles a la forma de las leyes de la física, y esto hace que en algunos casos el más mínimo de los cambios haga naufragar la posibilidad de aparición de la vida, al menos en la forma en que la conocemos. Este tópico se conoce con el nombre del Principio Antrópico, porque relaciona nuestra existencia como observadores del universo a las leyes y condiciones del mismo. Las leyes de la naturaleza son tales que la materia y la energía pueden organizarse a sí mismas en las complejas formas y sistemas que nos rodean. Aunque pudiera ser apresurado decir que los científicos entienden todo sobre esta auto-organización, parece no haber razón fundamental por la cual, dadas las leyes de la física, todos los sistemas físicos conocidos no puedan ser explicados como el producto de procesos físicos ordinarios. Algunas personas universo_24concluyen de esto que la ciencia le ha desprovisto al universo de todo misterio y propósito, y que la elaborada organización del mundo físico es o un accidente sin sentido o una consecuencia inevitable de las leyes de la física. “Cuanto más comprensible parece el universo, también más parece sin sentido”, creía el físico Steven Weinberg. El biólogo Jacques Monod repitió este triste sentimiento: “El antiguo convenio está hecho pedazos: el hombre al final sabe que está solo en la insensible inmensidad del universo, de la cual ha emergido sólo por casualidad. Ni su destino ni su deber han sido escritos.»

Sin embargo no todos los científicos sacan la misma conclusión de los hechos. Aunque aceptan que la organización de la naturaleza pueden ser explicadas por las leyes de la física, junto con unas adecuadas condiciones iniciales cósmicas, algunos científicos reconocen que muchas de las estructuras y sistemas del universo dependen para su existencia de la forma particular de esas leyes y condiciones iniciales. Más aún, en algunos casos la existencia de complejidad en la naturaleza parece estar balanceada muy finamente, de modo tal que pequeños cambios en las formas de las leyes podría aparentemente impedir que esta complejidad aparezca. Un estudio cuidadoso que las leyes de la naturaleza son llamativamente afortunadas para la aparición de riqueza y variedad.

universo_23En el caso de organismos vivientes, su existencia parece depender de un número de coincidencias tan fortuitas que algunos científicos reconocen que son nada menos que asombrosas. Los estados del universo tienen “profundidad”. Esa profundidad no fue construida en el universo en su origen. Ha emergido del caos primigenio en una secuencia de procesos auto-organizativos que han progresivamente enriquecido y complicado el universo a medida que evolucionaba. Es legítimo buscar “explicaciones” para las cosas, y que nosotros realmente entendemos algo sólo cuando está “explicado.” Todavía tiene que admitirse que nuestro concepto de explicación racional probablemente deriva de nuestras observaciones del mundo y de nuestra herencia evolutiva. ¿Está claro que esto provee una guía adecuada cuando nos estamos enredando con preguntas fundamentales? ¿Podría ser el caso que la razón para la existencia no tenga explicación en el sentido usual? Esto no significa que el universo sea absurdo o sin sentido, sólo que un entendimiento de su existencia y propiedades, yacería fuera de las categorías del pensamiento racional humano.

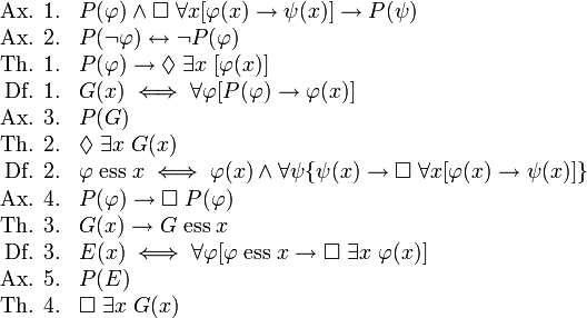
universo_22La aplicación del razonamiento humano en su sentido más refinado y formal – el matemático – está no obstante lleno de paradojas e incertidumbre. El teorema de Gödel nos advierte que el método axiomático de hacer deducciones lógicas desde ciertas presunciones dadas no puede en general proveer que un sistema sea a la vez probadamente completo y consistente. Habrá siempre verdades que están más allá, que no pueden ser alcanzadas desde un conjunto finito de axiomas. La búsqueda de un esquema lógico que provea una explicación completa y auto consistente de todo está condenada a fallar.

Referencia: La mente de Dios – Paul Davies

Esta entrada fue publicada en Ciencia y etiquetada , , , . Guarda el enlace permanente.

Deja un comentario