Yo soy el Alfa y la Omega, principio y fin, dice el Señor, el que es y que era y que ha de venir, el Todopoderoso.
Apocalipsis, I, 8
No temas; yo soy el primero y el último; y el que vivo, y estuve muerto; mas he aquí que vivo por los siglos de los siglos, amén. Y tengo las llaves de la muerte y del Hades («La morada de los muertos»). Escribe las cosas que has visto, y las que son, y las que han de ser después de estas. El misterio de las siete estrellas que has visto en mi diestra, y de los siete candeleros de oro: las siete estrellas son los ángeles de las siete iglesias, y los siete candeleros que has visto, son las siete iglesias.
Apocalipsis, I, 17-20
En mi infancia yo era un niño muy religioso. Pero a los doce años, empecé a leer libros científicos, de esos de divulgación, no se si los conocéis…..
…y llegué a la conclusión de que la mayor parte de las historias de la Biblia no son más que narraciones míticas.
Somos una entre millones de especies que ocupan el tercer planeta de una estrella periférica de una galaxia mediana con miles de millones de estrellas, y esa galaxia es, ella misma, una entre miles de millones de galaxias que existen en el universo. ¿Cómo queréis que crea en un Dios que se toma el trabajo, en esta inmensidad de proporciones inimaginables, de preocuparse por cada uno de nosotros?
Tal vez podría ser porque Dios es bueno y omnipotente. Pero si Dios es bueno, no puede ser omnipotente, ya que no logra acabar con el mal. Y si Dios es omnipotente, no puede ser bueno, ya que permite la existencia del mal. Un concepto excluye al otro. ¿Cuál preferis? Pues… tal vez el concepto de que Dios es bueno.
Pero en ese caso, si se lee la Biblia con atención, nos daremos cuenta de que no trasmite la imagen de un Dios benévolo, sino más bien de un Dios celoso, un Dios que exige fidelidad ciega, un Dios que causa temor, un Dios que castiga y sacrifica, un Dios escatológico.
Dios no es necesariamente bueno pero siendo el creador del universo, por lo menos es omnipotente, ¿no?
La omnipotencia conlleva una simpática paradoja: si Dios es omnipotente, puede crear una piedra que sea tan pesada que ni Él mismo logre levantarla. Si Dios no logra levantar la piedra, Él no es omnipotente. Si lo logra, tampoco es omnipotente porque no ha sido capaz de crear una piedra que le resulte imposible levantar.
No existe un Dios omnipotente, ésa es una fantasía del hombre en busca de consuelo y también de una explicación para lo que no entiende.
No creo en el Dios de la Biblia, creo en el Dios que se revela en el orden armonioso de lo que existe. Admiro la belleza y la lógica simple del universo, creo en un Dios que se revela en el universo, en un Dios que…
¿Es posible probar la existencia de Dios?
El universo está constituido por partículas fundamentales. Inicialmente se pensaba que esas partículas eran los átomos. «Átomo» es la palabra griega que significa «indivisible». Pero con el tiempo los físicos empezaron a darse cuenta de que era posible dividir lo indivisible. Se descubrió que había partículas aún más pequeñas. Y se dieron cuenta de lo vacío y pequeño que es un átomo.
Todas las partículas interactúan entre si a través de cuatro fuerzas. Cuatro: la fuerza de la gravedad, la fuerza electromagnética, la fuerza fuerte y la fuerza débil.
La fuerza de la gravedad es la más débil de todas, pero su radio de acción es infinito. Aquí en la Tierra sentimos la atracción de la fuerza de gravedad de la Luna, del Sol y hasta del centro de nuestra galaxia, en torno a la cual giramos. Después está la fuerza electromagnética, que es la conjunción de la fuerza eléctrica con la fuerza magnética. La fuerza eléctrica hace que las cargas opuestas se atraigan y las cargas semejantes se alejen. No obstante, a pesar de toda esta fuerza electromágnetica repulsiva y atractiva, los protones se mantienen unidos al núcleo. ¿Por qué? ¿Qué fuerza existe que sea aún más fuerte que la poderosa fuerza eléctromágnetica? La fuerza nuclear fuerte. Es una fuerza tan grande, tan grande, que es capaz de mantener a los protones unidos al núcleo. En realidad, la fuerza fuerte es casi cien veces más fuerte que la fuerza electromagnética. Pero a pesar de toda su tremenda fuerza, la fuerza fuerte tiene un radio de acción muy corto, menos que el tamaño de un núcleo atómico.
Bajo determinadas condiciones, es posible liberar la energía de la fuerza fuerte que se encuentra en el núcleo de los átomos. Se llega a ello a través de dos procesos, la escisión y la fusión del núcleo. ¡La bomba atómica!
Todo este maremágnum de partículas y fuerzas conforman todo el universo. Y todo lo que está en él. Nosotros mismos no somos más que un cúmulo de sustancias químicas que circulan por nuestro cuerpo, de transmisiones eléctricas entre neuronas, de herencias genéticas codificadas en el ADN, de un sinnúmero de condicionantes externos e intrínsecos que moldean ese nuestro yo que somos nosotros. Nuestro cerebro es una compleja máquina electroquímica que funciona como un ordenador, y nuestra conciencia, esa noción que tenemos de nuestra existencia, es una especie de programa. Si todo el circuito muere, ¿sobrevive el alma? ¿Sobrevive nuestra conciencia? ¿Dónde sobrevive? ¿En qué sitio?
Yo se que soy yo porque guardo memoria de mí mismo, de todo lo que me ha ocurrido, incluso de lo que ha ocurrido hace apenas un segundo. Yo soy la memoria de mí mismo. ¿Y dónde se localiza esa memoria? En el cerebro claro.
Mi memoria se encuentra localizada en el cerebro, almacenada en células. Esas células forman parte de mi cuerpo. Y ahí está la cuestión. Cuando mi cuerpo muere, el oxígeno deja de alimentar a las células de la memoria, que de tal modo se mueren también. Se borra así toda mi memoria, el recuerdo de lo que soy.
Lo que hace que yo sea yo no son los átomos que me componen, sino la forma en que se organizan esos átomos. Los átomos que están en mi cuerpo son exactamente iguales a los átomos que componen el resto del universo. Son todos iguales. La diferencia está en la forma en que se organizan.
Lo que organiza a los átomos de modo que formen células vivas son las leyes de la física. Ésta es la cuestión central. Lo que forma la vida es una estructura de información, una semántica, una organización compleja. A lo largo de la vida, voy incluso cambiando casi todos mis átomos. Y, no obstante, yo sigo siendo yo. Siempre que los átomos posibiliten la estructura de información que define mi identidad y las funciones de mis órganos, ¡La vida es posible!.
La vida es una estructura muy compleja de información y todas sus actividades implican procesamiento de información. En resumidas cuentas, somos una especie de programa. La materia es el hardware, nuestra conciencia el software.
¿Y cuál es ese programa? ¡La supervivencia de los genes!
Un cerebro es una masa orgánica que funciona exactamente como un circuito eléctrico. En vez de tener cables, tiene neuronas; en vez de tener chips, tiene sesos; pero es exactamente lo mismo. Su funcionamento es determinista. Las células nerviosas disparan un impulso eléctrico en dirección al brazo con una determinada orden, según un esquema de corrientes eléctricas predefinidas. Un esquema diferente produciría la emisión de un impulso diferente. Exactamente como un ordenador.
Por tanto el alma, queridos amig@s, no es más que una invención, una maravillosa ilusión creada por nuestro ardiente deseo de escapar del carácter inevitable de la muerte.
Toda este conglomerado de materia que componen nuestros apreciados cuerpos (cuerpo y conciencia) está regida por la leyes de la física. Leyes de la física que se apoyaban en los trabajos de Newton y que explican el funcionamiento del universo tal y como lo perciben
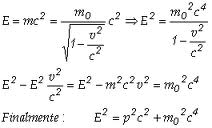
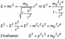
los seres humanos. Hasta que un día llegó un tal Albert Einstein y con su teoría de la relatividad restringida estableció un vinculo entre el espacio y el tiempo, diciendo que ambos eran relativos. El tiempo cambia porque hay movimiento en el espacio. Lo único que no es relativo, sino absoluto, es la velocidad de la luz. A velocidades próximas a la luz, el tiempo se reduce y las distancias se contraen. La masa y la energía también son relativas. Más que relativas, masa y nergía son las dos caras de una misma moneda.
Energía es igual a la masa por el cuadrado de la velocidad de la luz. Una minúscula porción de masa contiene una brutal cantidad de energía. Si yo peso entre 70 y 80 kilos eso quiere decir que mi cuerpo contiene energía suficiente para abastecer de electricidad a una pequeña ciudad durante toda una semana. La única dificultad es transformar esa materia en energía. Igualmente es posible convertir energía en masa. Cuando un cuerpo se acerca a la velocidad de la luz, el tiempo se contrae y su masa aumenta. Por eso ningún objeto puede alcanzar la velocidad de la luz, porque su masa se volvería infinitamente grande, lo que requeriría una energía infinita para mover a ese objeto.
Los fotones (las partículas de la luz) son partículas sin masa, se encuentran en estado de energía pura y ni siquiera experimentan el paso del tiempo. Como viajan a la velocidad de la luz, para ellas el universo es intemporal. Desde el punto de vista de los fotones, el universo nace, crece y muere en el mismo instante.
Sabiendo lo que sabemos sobre el universo, no estamos seguros de que Dios no exista. Siempre se ha pensado que Dios no es más que una creación humana, una maravillosa invención que nos conforta y que llena convenientemente lagunas de nuestro conocimiento. Éste es el llamado «Dios de las lagunas». Cuando ignoramos algo, invocamos a Dios y la cuestión queda explicada, cuando, en realidad, existen otras explicaciones más verdaderas, aunque no podamos conocerlas. Lo sobrenatural no es más que una fantasía alimentada a causa de nuestro desconocimiento sobre lo natural.
Todo lo que nos rodea tiene una explicación. Las cosas se rigen por leyes universales, absolutas y eternas, omnipotentes, omnipresentes y omniscientes. Son absolutas porque no dependen de nada, afectan a los estados físicos pero éstos no las afectan. Son eternas porque no cambian con el tiempo, eran las mismas en el pasado y sin duda lo seguirán siendo en el futuro. Son omnipotentes porque nada se les escapa, ejercen su fuerza en todo lo que existe. Son omnipresentes porque se encuentran en cualquier parte del universo, no hay unas leyes que se aplican aquí y otras diferentes que se aplican allá. Y son omniscientes porque ejercen automáticamente su fuerza, no necesitan que los sistemas las informen de su existencia.
Las leyes del universo y el mismo universo en si mismo tienen una característica inherente: la forma en que los misterios más profundos se mantienen habilidosamente ocultos. Por más que intentemos alcanzar el meollo de un enigma, descubrimos que existe siempre una barrera sutil que nos impide desverlarlo por completo.
La incertidumbre del universo radica en que es imposible establecer la posición y la velocidad de una partícula simultáneamente y con exactitud debido a la presencia del observador. Éste es el punto crucial. El comportamiento de las partículas es determinista, lo que ocurre es que ese comportamiento no puede ser determinado, debido a la presencia del observador y a su interferencia en las partículas observadas. Es decir, las partículas tienen un comportamiento determinista, pero indeterminable.
Existe una sutileza adicional, jamás se podrá comprobar que el comportamiento de la materia es determinista, dado que, cuando intentamos hacerlo, la interferencia de la observación nos impide obtener esa prueba.
La historia se encuentra determinada desde el origen de los tiempos, pero jamás podremos probarlo y jamás podremos conocerla con exactitud. Ésta es la sutileza. El universo esconde su misterio por detrás de esta sutileza.
«Sutil es el Señor, pero no malicioso. La naturaleza oculta su secreto en razón de su esencia majestuosa, nunca por astucia» Albert Einstein.
Si fuera posible archivar todos los datos del universo (con una precisión y una exactitud divinas) en un superodenador, el Demonio de Laplace se pondría en funcionamiento. Todo el pasado y el futuro ya existen, y si supiésemos todas las leyes y lográsemos definir con precisión, y simultáneidad, la velocidad, dirección y posición de toda la materia……….. pero el universo se revela contra eso y nos dice: hay ciertas cosas que vosotros, los seres humanos, sabéis que son verdaderas, pero jamás podréis probarlo, a causa de la forma majestuosa en que yo, el universo, he ocultado el último resto de la verdad. Podréis conocer gran parte de la verdad, pero las cosas están concebidas de modo tal que jamás conseguiréis aprenderlas íntegramente. Cuando vamos al fondo de las cosas, siempre encontramos un extraño velo que oculta las últimas facetas del enigma. El creador esconde allí su firma.
Todo tiene un principio y un fin. Un Alfa y Omega. ¿Por qué razón el universo tiene que tener un principio y un fin? ¿Cuál es el obstáculo para que el universo sea eterno? ¿Podrá ser eterno?
Un pequeño matiz nos hace interpelar al fin del universo. La Entropía. La energía ni se crea ni se destruye, se transforma y se degrada. La entropía del universo no se mantiene constante, siempre va en aumento. Todos los procesos naturales conllevan ineficiencias y por consiguiente un aumento de la Entropía. La Entropía aumenta porque las cosas «envejecen». Si las cosas envejecen, habrá entonces un punto en el tiempo en que van a morir. Eso ocurrirá cuando la Entropía alcance su punto máximo, en el momento en que la temperatura se esparza uniformemente por el universo. Si las cosas envejecen es porque existe una flecha del tiempo. El universo puede estar determinado y ya existir toda su historia, pero siempre evoluciona del pasado hacia el futuro. Si las cosa envejecen es porque habrá habido un momento en que todo era joven. Hubo un momento en que la Entropía era mínima. El momento del nacimiento.
El universo está evolucionando hacia un estado de equilibrio termodinámico, en que deja de haber zonas frías y zonas cálidad, y se consolida una temperatura constante en todas partes.
Un principio, un punto Alfa, ….. el Big Bang: la Gran Expansión. El principio de todo el universo. Y antes de esa expansión… ¿qué había? No hubo antes. Todo comienza con la Gran Expansión, el espacio y el tiempo. Ni siquiera había vacío. No había vacío porque no existía el espacio. No había «antes» porque no existía el tiempo.
Todos los acontecimientos tienen causas, y sus efectos se vuelven causas de los acontecimientos siguientes, ¿verdad? El proceso causa-efecto-causa implica una cronología, ¿no? Pero si el tiempo no existía en aquel punto infinitesimal que originó la Gran Expansión….. ¡No había causas ni efectos! ¡Ningún acontecimiento podía preceder a otro! !No hubo causa alguna que originara la Gran Expansión!
Todo ocurrió en algún sitio hace entre diez y veinte mil millones de años, probablemente hace quince mil millones de años. La energía estaba concentrada en un punto y se expandió en una monumental erupción. La materia surgió de la transformación de la energía. En el primer instante, apareció el espacio y luego se expandió. La aparición del espacio implicó automáticamente la aparición del tiempo, que también se expandió.
El noventa y ocho por ciento de la materia que existe se formó a partir de la erupción de la energía del Big Bang. Eso significa que casi todos los átomos que se encuentran en nuestro cuerpo ya han pasado por diversas estrellas y ya han ocupado millares de organismos diferentes hasta llegar a nosotros. Eso significa que cada uno de nosotros tiene muchos átomos que ya estuvieron en los cuerpos de Abraham, Moisés, Jesucristo, Buda o Mahoma.
Todo lo que nace muere. Todo empieza en el punto Alfa y termina en el punto Omega. Existen dos posibilidades de llegar al punto Omega. La primera es el llamado Big Freeze o Gran Hielo. El universo se transforma en un inmenso y helado cementario galáctico, consecuencia irremediable de la segunda ley de la termodinámica. Esto ocurrirá dentro de cien mil millones de años. La segunda posibilidad es el Big Crunch o Gran Aplastamiento. La expansión del universo se reduce, llegará un momento en que se detendrá y luego comenzará a encogerse. Debido a la fuerza de la gravedad, el espacio, el tiempo y la materia empezarán a converger entre si hasta aplastarse en un punto infinito de energía.
En el prefacio a la segunda edición de la «Crítica de la razón pura«, Kant estableció los límites de la ciencia. Concluyó que hay tres problemas fundamentales de la metafísica que la ciencia jamás será capaz de resolver: Dios, la libertad y la inmortalidad. Kant era de la opinión de que los científicos nunca serán capaces de probar la existencia de Dios, de determinar si tenemos o no libre albedrío y de entender con toda certidumbre qué ocurre después de la muerte. Esas cuestiones, en su opinión, ya no pertenecen al dominio de la física, sino de la metafísica. Están más allá de la prueba.
Si estamos esperando ver a un patriarca viejo y barbudo, observando la Tierra con aire preocupado, vigilando lo que cada uno de nosotros hace, piensa y pide, y que habla con una voz gruesa…, bueno, creo que tendremos que esperar hasta la eternidad para probar la existencia de tal personalidad. Ese Dios lisa y llanamente no existe, es sólo una construcción antropomórfica que nos permite visualizar algo que está por encima de nosotros. En ese sentido, construimos a Dios como una figura paternal. Necesitamos de alguien que nos proteja, que nos defienda del mal, que nos abrigue con sus brazos protectores, que nos de consuelo en las horas difíciles, que nos ayude a aceptar lo inaceptable, a comprender lo incomprensible, a enfrentar lo terrible. Ese alguien es Dios.
Existe un Dios que está en todo lo que nos rodea. No como una entidad por encima de nosotros, que nos vigila y protege, tal como preconiza la tradición judeocristiana, sino como una inteligencia creadora, sutil y omnipresente, tal vez amoral, que se encuentra a cada paso, en cada mirada, en cada respiración, presente en el cosmos y en los átomos, que todo lo integra y a todo le da sentido.
«Al principio creó Dios los cielos y la tierra. La tierra estaba confusa y vacía, y las tinieblas cubrían el haz del abismo, pero el espíritu de Dios estaba incubando sobre la superficie de las aguas. Dijo Dios: ‘Haya luz’. Y hubo luz». Génesis I, 1-3.
Este fragmento fundamental coincide, en líneas generales, con la idea del Big Bang. Los primeros versículos de la Biblia establecen, fuera de toda duda, que el universo se creó en seis días. Solamente seis días. ¿Qué eran esos seis días?
Leyendo el «Libro de los Salmos», un texto hebreo de casi tres mil años, nos encontramos con una frase en el salmo 90 que dice más o menos lo siguiente: «Mil años viéndote son como un día que pasa».
Según la Teoría de la Relatividad, «Mil años viéndote» representa el tiempo en una perspectiva; «un día que pasa» representa el mismo período de tiempo en otra perspectiva. El tiempo es relativo. El tiempo pasa a velocidades diferentes según la velocidad del movimiento en el espacio. El factor decisivo es la velocidad y la referencia es la velocidad de la luz, que es constante. El tiempo no es universal. No hay presente universal. Lo que es presente para un observador es pasado para otro y futuro para un tercero. Una cosa aún no ha ocurrido y ya ha ocurrido. Aunque ya haya ocurrido en un punto, aún no ha ocurrido en otro, pero va a ocurrir.
Llegamos ahora al punto crucial de la gravedad. El espacio-tiempo es curvo. El espacio se curva debido a la fuerza de la gravedad y, como espacio y tiempo están relacionados, el tiempo también se curva. Por tanto, el paso del tiempo es más lento en lugares de alta gravedad y más rápido en los lugares de gravedad débil. Como cada objeto tiene su propia gravedad, el tiempo pasa de modo diferente en cada punto del universo. Cuanto más masa tiene un objeto, más lento pasa el tiempo en su superficie.
Cuando el universo comenzó, la materia estaba toda concentrada. Eso significa que la fuerza de la gravedad era inicialmente enorme y, en consecuencia, el paso del tiempo muy lento. A medida que la materia se fue alejando, el paso del tiempo se fue acelerando porque la gravedad se fue haciendo menor.
El primer día bíblico duró ocho mil millones de años. El segundo día duro cuatro mil millones, el tercero duró dos mil millones, el cuarto duró mil millones, el quinto duró quinientos millones de años y el sexto día duró dosciento cincuenta millones de años. En total, quince mil millones de años. ¿Os suena? Si, es la edad del Universo.
El primer día bíblico tiene ocho mil millones de años. Comenzó hace quince mil setecientos millones de años y terminó hace siete mil setecientos millones de años. En ese período, dice la Biblia, fue cuando se hizo la luz y fueron creados el cielo y la tierra. Ahora sabemos que, en ese período, se produjo el Big Bang y fue creada la materia. Se formaron las estrellas y las galaxias.
El segundo día bíblico duró cuatro mil millones de años y terminó hace tres mil setecientos millones de años. La Biblia dice que Dios hizo el firmamento en ese segundo día. Sabemos hoy que fue en ese momento cuando se formó nuestra galaxia, la Vía Láctea, y el Sol, que se encuentran visibles en nuestro firmamento, o sea, todo lo que se encuentra en los alrededores de la Tierra se creó en ese período.
El tercer día bíblico, correspondiente a dos mil millones de años que terminaron hace mil setecientos millones de años, habla de la formación de la tierra y del mar y de la aparición de las plantas. Los datos científicos refieren que la Tierra se enfrió en ese período y apareció agua líquida, a la que siguió inmediatamente la aparición de bacterias y vegetación marina, sobre todo algas.
El cuarto día bíblico duró mil millones de años y terminó hace setecientos cincuenta millones de años. La Biblia dice que aparecieron en este cuarto día luces en el firmamento, sobre todo el Sol, la Luna y las estrellas. Aunque el Sol y las estrellas fueron creados en el segundo día bíblico, no eran visibles desde la Tierra. Fue al cuarto día cuando la atmósfera de la Tierra se volvió transparente, y dejó ver el cielo. Corresponde también al período en que la fotosíntesis comenzó a despedir oxígeno en la atmósfera.
El quinto día bíblico duró quinientos millones de años y terminó hace doscientos cincuenta millones de años. Las aguas se poblaron de numerosos seres vivos y en la tierra volaron aves bajo el firmamento de los cielos. Se corresponde con el período geológico y biológico de la aparición de los animales multicelulares y de toda la vida marina, además de los primeros animales voladores.
Y llegamos al sexto día bíblico, que comenzó hace doscientos cincuenta millones de años. Según la Biblia, Dios dijo: «Que la tierra produzca seres vivos, según sus especies, animales domésticos, reptiles y animales feroces, según sus especies». Y, más adelante, Dios añade: «Hagamos al hombre». Muy interesante, ¿no?
Hace doscientos cincuenta millones de años se produjo la mayor extinción de especies de que se tenga conocimiento, la extinción del Pérmico. Cerca del 95% de las especies existentes se extinguieron de un momento a otro. Incluso desaparecierón un tercio de los insectos, la única vez en que se produjo una extinción de insectos en masa. La extinción del Pérmico fue aquella en la que la vida en la Tierra estuvo más cerca de la erradicación total. Ese gran cataclismo se produjo hace exactamente doscientos cincuenta millones de años. Curiosamente, en el momento en que comenzó el sexto día bíblico. Después de esa monumental extinción en masa, la Tierra fue repoblada.
El Antiguo Testamento oculta un gran secreto. La prueba de la existencia de Dios. La fuerza inteligente por detrás de todo. El Brahman, el Dharmakaya, el Tao. Lo uno que se revela múltiple. El pasado y el futuro, el Alfa y el Omega, el yin y el yang. Aquel que se presenta con mil nombres y no es ninguno siendo todos. Aquel que viste las ropas de Shiva y danza la danza cósmica. Aquel que es inmutable y no permanente, grande y pequeño, eterno y efímero, la vida y la muerte, todo y nada. Dios.
Observando todo lo que nos rodea, podemos comprobar que existe una gran inteligencia en la concepción de las cosas. Pero, ¿esa inteligencia es fortuita o existe una intención por detrás de todo? De haber intención, ¿Cuál es esa intención? Y, elemento crucial, ¿existirá alguna manera de, habiendo intención, demostrar su existencia?
Lo que realmente interesa saber es si Dios podría haber hecho el mundo de una manera diferente, o sea, si la necesidad de simplicidad lógica deja alguna libertad. Si las condiciones de partida fuesen diferentes, ¿cuán diferente sería el universo? ¿y si los valores de las constantes de la naturaleza fuesen ligeramente diferentes? ¿Qué ocurriría si la fuerza de la gravedad fuese ligeramente más débil o más fuerte de lo que es, si la luz presentase una velocidad en el vacío un poco mayor o un poco menor de la que tienes, si la constante de Planck fuese mínimamente diferente?
Considerando la fuerza bruta del Big Bang, es muy natural que la expansión no pueda ser controlada, ¿no? Esa expansión debería de imponerse o no sobre la fuerza de gravedad de toda la materia. Es infinitamente improbable que la expansión y la gravedad estén equilibradas. Y, no obstante, ambas parecen estar muy cerca de hallarse equilibradas, si es que realmente no lo están. Si toda la energía que libera el Big Bang fuese una pequeñísima fracción más débil, la materia volvería hacia atrás y se aplastaría en un gigantesco agujero negro. Si fuese mínimamente más fuerte, la materia se dispersaría tan deprisa que las galaxias ni siquiera llegarían a formarse.
Y, no obstante, la energía del Big Bang tenía este valor yan increíblemente preciso, situado en este intervalo tan asombrosamente estrecho. Lo más extraordinario es que, de hecho, se liberó la energía rigurosamente necesaria para que el universo pudiera organizarse.
Las condiciones iniciales del Universo en el Big Bang fueron tan presisas que no fue sólo la vida la que se adaptó al universo. El propio universo se preparó para la vida. En cierto modo, es como si el universo siempre hubiese sabido que vendríamos con él. Nuestra mera existencia parece depender de una extraordinaria y misteriosa cadena de coincidencias e improbabilidades. Las propiedades del universo, tal como están configuradas, son requisitos imprescindibles para la existencia de vida. Esas propiedades podrían ser infinitamente diferentes. Todas las alternativas conducirían a un universo sin vida. Es lo que se llama principio antrópico: el universo está concebido a propósito para crear vida.
La vida no es un accidente, no es fruto del azar, no es el producto fortuito de circunstancias anormales. Es el resultado inevitable de la mera aplicación de las leyes de la física y de los misteriosos valores de sus constantes. El universo está concebido para crear vida. Dios no podría haber hecho el mundo de manera diferente.
Desde un punto de vista macrocósmico, todo está determinado. Sin embargo, desde el punto de vista del microcosmos de cada persona, nada parece determinado porque nadie sabe lo que va a ocurrir después. La libre voluntad es un concepto del presente. Pero lo cierto es que no tenemos posibilidad de alterar lo que hemos hecho en el pasado. Lo hecho, hecho está. Si ambos, pasado y futuro, existen, aunque en planos diferentes, el futuro también está determinado.
El actual estado del universo es efecto de su estado anterior y causa del que lo seguirá. Si conocemos todo el estado presente de toda materia, energía y leyes, hasta el más ínfimo detalle, lograremos calcular todo el pasado y todo el futuro. El futuro y el pasado estarían en ese caso presentes ante nuestros ojos. ¡Todo está determinado!
Todo quedó determinado desde el principio, en el instante en que se formó el universo. La energía y la materia se distribuyeron de determinada forma y las leyes y los valores de las constantes se concibieron de determinada manera, y ello determinó justo en ese momento la historia que tendrían de entonces en adelante toda aquella materia y energía. Todo lo que ha ocurrido, ocurre y ocurrirá está previsto desde el nacimiento del tiempo. El universo fue concebido con un ingenio tal que revela inteligencia y con una afinación tal que revela un propósito.
A pesar de todo, sabemos que la vida es efímera. Aparecimos en una fase relativamente inicial de la vida del universo y estamos condenados a desaparecer. Este período fértil en la vida del universo no es más que un pequeño episodio en la historia del universo. Acabaremos siendo absorbidos por nuestro calenturiento Sol, sumergidos en ese horno infernal. Poco a poco todas las estrellas morirán. Una a una, todas crecerán en volumen y todas morirán, unas encogidas hasta volverse enanas, otras estallando en supernovas. El hidrógeno se agotará y dejarán de nacer nuevas estrellas. Las galaxias se apagarán y el universo se transformará en un inmenso cementerio, lleno de agujeros negros.
La vida inteligente tendrá que luchar por su supervivencia en este trágico contexto. Primero tendrá que salir del planeta llamado Tierra. La Tierra no tiene futuro, hay que huir de aquí. Viajaremos a las estrellas y aplazaremos lo inevitable. El desarrollo de la vida artificial será el primer paso hacia la Gran Evasión. Los ordenadores alcanzarán el nivel humano de procesamiento de información y capacidad de integración de datos. Cuando llegue ese día, los ordenadores adquirirán conciencia, según lo sugiere, por otra parte, el test de Turing.
Pronto podremos también desarrollar robots que sean constructores universales. El matemático Von Neumann ya ha sentado las bases de como pueden crearse esos constructores universales. Servirán para garantizar la supervivencia de la civilización.
A medida que se torne más difícil la habitabilidad en la Tierra, la prioridad será encontrar planetas a los que pueda trasladarse la vida. ¡Un Arca de Noé galáctica!
Tenemos la certidumbre de que la inteligencia artificial será capaz de expandirse por las galaxias. Que lo haga la vida basada en el carbono es más improbable.
Después del apogeo de la Gran Expansión, el tiempo y el espacio comenzarán a encogerse. Aumentará la temperatura y todo concluirá con el Big Crunch. La vida basada en el carbono habrá desaparecido mucho antes de que esto ocurra pero la inteligencia artificial asumirá el control de todo el proceso. La vida por tanto no es el objetivo del universo, sino un paso necesario para permitir la aparición de la inteligencia. La inteligencia artificial asumirá el control con todo detalle de la forma en que se producirá el Big Crunch. Tendrá que controlar todo según una fórmula que le permita recrear el mismo universo después del Big Crunch, de modo que todo pueda volver a existir. Todo, incluida ella misma.
Esa fórmula implicará una distribución de la energía con un rigor y afinación tales que, evolucionando después de modo determinista según leyes y constantes con valores debidamente definidos, permitirá que la materia reaparezca en el nuevo universo, después la vida y, finalmente, la inteligencia. La inteligencia que está en la raíz de todo. ¡Dios!
Al final del silencio está la respuesta
Al final de nuestros días está la muerte
Al final de nuestra vida, un nuevo inicio.

Bueno te diré que yo creo a mi manera de todo un poco